beijing1 beijing2
咨询/订购
400-820-6829
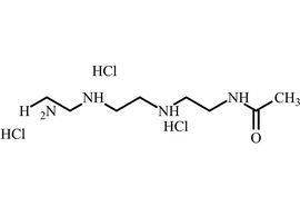
N1-乙胺曲恩汀 盐酸盐

分析标准品,附HPLC, MS, HNMR等图谱

N1-乙胺三乙撑四胺 盐酸盐
N1-Acetyl Triethylenetetramine TriHydrochloride
  • 产品编号: LT824

  • CAS号: 141998-21-2

  • 分子式:C8H20N4O.3HCl

  • 分子量:297.65

英文别名:
N-(2-((2-((2-Aminoethyl)amino)ethyl)amino)ethyl)acetamide, hydrochloride (1:3)
级别:
分析标准品
应用:
分析标准品,附HPLC, MS, HNMR等图谱
SMILES:
NCCNCCNCCNC(=O)C
储存条件:
见标签
搜索质检报告(COA)
搜索MSDS

人参皂苷Ro

34367-04-9

人参皂苷Rg6

147419-93-0

人参皂苷Rg5

186763-78-0