beijing1 beijing2
咨询/订购
400-820-6829
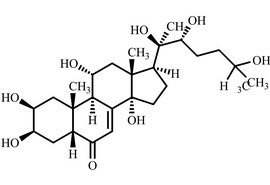
土克甾酮

分析标准品,附HPLC, MS, HNMR等图谱

土耳其筋骨草甾酮
Turkesterone
  • 产品编号: LT256001

  • CAS号: 41451-87-0

  • 分子式:C27H44O8

  • 分子量:496.64

英文别名:
(2β,3β,5β,11α,22R)-2,3,11,14,20,22,25-Heptahydroxycholest-7-en-6-one
级别:
分析标准品
应用:
分析标准品,附HPLC, MS, HNMR等图谱
SMILES:
CC(CC[C@H]([C@]([C@H]1CC[C@]2(C3=CC(=O)[C@@H]4C[C@H]([C@H](C[C@]4(C)[C@H]3[C@@H](C[C@]12C)O)O)O)O)(C)O)O)(C)O
储存条件:
见标签
搜索质检报告(COA)
搜索MSDS

人参皂苷Ro

34367-04-9

人参皂苷Rg6

147419-93-0

人参皂苷Rg5

186763-78-0