beijing1 beijing2
咨询/订购
400-820-6829
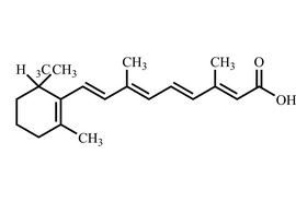
维A酸

分析标准品,附HPLC, MS, HNMR等图谱

全反式维甲酸;全反式视黄酸
Tretinoin
  • 产品编号: LT114001

  • CAS号: 302-79-4

  • 分子式:C20H28O2

  • 分子量:300.44

  • EINECES:206-129-0

英文别名:
ATRA; Retinoic Acid; all-trans-Retinoic Acid
级别:
分析标准品
应用:
分析标准品,附HPLC, MS, HNMR等图谱
SMILES:
C/C(/C=C/C=C(\C)/C=C/C1C(C)(C)CCCC=1C)=C/C(O)=O
储存条件:
见标签
搜索质检报告(COA)
搜索MSDS

人参皂苷Ro

34367-04-9

人参皂苷Rg6

147419-93-0

人参皂苷Rg5

186763-78-0