beijing1 beijing2
咨询/订购
400-820-6829
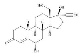
左炔诺孕酮杂质G (EP)

分析标准品,附HPLC, MS, HNMR等图谱

6α-羟基左炔诺孕酮
Levonorgestrel EP Impurity G
  • 产品编号: LL225

  • CAS号: 87585-03-3

  • 分子式:C21H28O3

  • 分子量:328.45

英文别名:
6α-Hydroxylevonorgestrel; 13-Ethyl-6α,17-dihydroxy-18,19-dinor-17α-pregn-4-en-20-yn-3-one
级别:
分析标准品
应用:
分析标准品,附HPLC, MS, HNMR等图谱
SMILES:
COC1C=CC2[C@H]3CC[C@@]4([C@](CC[C@H]4[C@@H]3CCC=2C=1)(O)C#C)CC
储存条件:
见标签
搜索质检报告(COA)
搜索MSDS

人参皂苷Ro

34367-04-9

人参皂苷Rg6

147419-93-0

人参皂苷Rg5

186763-78-0