beijing1 beijing2
咨询/订购
400-820-6829
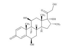
6β-羟基地塞米松

分析标准品,附HPLC, MS, HNMR等图谱

-
6β-Hydroxy Dexamethasone
  • 产品编号: LD3640

  • CAS号: 55879-47-5

  • 分子式:C22H29FO6

  • 分子量:408.47

英文别名:
(6β,11β,16α)-9-Fluoro-6,11,17,21-tetrahydroxy-16-methylpregna-1,4-diene-3,20-dione
级别:
分析标准品
应用:
分析标准品,附HPLC, MS, HNMR等图谱
SMILES:
OCC([C@]1([C@H](C)C[C@H]2[C@@H]3C[C@@H](O)C4=CC(C=C[C@]4(C)[C@@]3(F)[C@H](C[C@]12C)O)=O)O)=O
搜索质检报告(COA)
搜索MSDS

人参皂苷Ro

34367-04-9

人参皂苷Rg6

147419-93-0

人参皂苷Rg5

186763-78-0