beijing1 beijing2
咨询/订购
400-820-6829
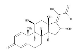
地塞米松-∆17,20 21-醛

分析标准品,附HPLC, MS, HNMR等图谱

地塞米松-17(20)-烯醇-21-醛
Dexamethasone-∆17,20 21-Aldehyde
  • 产品编号: LD3616

  • CAS号: 6762-51-2

  • 分子式:C22H27FO4

  • 分子量:374.46

英文别名:
(11β,16α)-9-Fluoro-11,20-dihydroxy-16-methyl-3-oxopregna-1,4,17(20)-trien-21-al
级别:
分析标准品
应用:
分析标准品,附HPLC, MS, HNMR等图谱
SMILES:
O=C/C(=C1/[C@H](C)C[C@H]2[C@@H]3CCC4=CC(C=C[C@]4(C)[C@@]3(F)[C@H](C[C@]/12C)O)=O)/O
搜索质检报告(COA)
搜索MSDS

人参皂苷Ro

34367-04-9

人参皂苷Rg6

147419-93-0

人参皂苷Rg5

186763-78-0