beijing1 beijing2
咨询/订购
400-820-6829
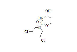
4-羟基环磷酰胺

分析标准品,附HPLC, MS, HNMR等图谱

-
4-Hydroxy Cyclophosphamide
  • 产品编号: LC1022

  • CAS号: 40277-05-2

  • 分子式:C7H15Cl2N2O3P

  • 分子量:277.09

英文别名:
2-(bis(2-chloroethyl)amino)-4-hydroxy-1,3,2-oxazaphosphinane 2-oxide
级别:
分析标准品
应用:
分析标准品,附HPLC, MS, HNMR等图谱
SMILES:
ClCCN(CCCl)P1(=O)NC(O)CCO1
储存条件:
见标签
搜索质检报告(COA)
搜索MSDS

人参皂苷Ro

34367-04-9

人参皂苷Rg6

147419-93-0

人参皂苷Rg5

186763-78-0