beijing1 beijing2
咨询/订购
400-820-6829
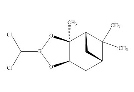
硼替佐米杂质51

分析标准品,附HPLC, MS, HNMR等图谱

-
Bortezomib Impurity 51
  • 产品编号: LB4664

  • CAS号: 87249-60-3

  • 分子式:C11H17BCl2O2

  • 分子量:262.97

英文别名:
(S)-Pinandiol(dichloromethyl)boronate
级别:
分析标准品
应用:
分析标准品,附HPLC, MS, HNMR等图谱
储存条件:
见标签
搜索质检报告(COA)
搜索MSDS

人参皂苷Ro

34367-04-9

人参皂苷Rg6

147419-93-0

人参皂苷Rg5

186763-78-0