beijing1 beijing2
咨询/订购
400-820-6829
巴柳氮杂质20

分析标准品,附HPLC, MS, HNMR等图谱

-
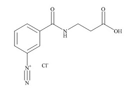
Balsalazide Impurity 20
  • 产品编号: LB3028

  • 分子式:C10H10N3O3.Cl

  • 分子量:255.66

英文别名:
-
级别:
分析标准品
应用:
分析标准品,附HPLC, MS, HNMR等图谱
储存条件:
见标签
搜索质检报告(COA)
搜索MSDS

人参皂苷Ro

34367-04-9

人参皂苷Rg6

147419-93-0

人参皂苷Rg5

186763-78-0