beijing1 beijing2
咨询/订购
400-820-6829
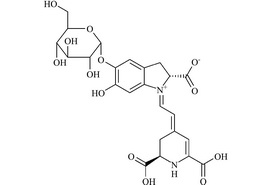
甜菜红素

分析标准品,附HPLC, MS, HNMR等图谱

卡米洛芬-d4
Betanin
  • 产品编号: LB204001

  • CAS号: 7659-95-2

  • 分子式:C19H28D4N2O2

  • 分子量:324.5

  • EINECES:231-628-5

英文别名:
Isoamyl N-(β-Diethylaminoethyl-d4)-α-aminophenylacetate
级别:
分析标准品
应用:
分析标准品,附HPLC, MS, HNMR等图谱
SMILES:
OC[C@@H]1[C@@H](O)[C@H](O)[C@@H](O)[C@H](OC2=C(O)C=C3C(CC(C([O-])=O)/[N+]/3=C/C=C3/C=C(C(O)=O)NC(C(O)=O)C/3)=C2)O1
储存条件:
见标签
搜索质检报告(COA)
搜索MSDS

人参皂苷Ro

34367-04-9

人参皂苷Rg6

147419-93-0

人参皂苷Rg5

186763-78-0