beijing1 beijing2
咨询/订购
400-820-6829
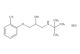
盐酸布尼洛尔

分析标准品,附HPLC, MS, HNMR等图谱

-
Bunitrolol Hydrochloride
  • 产品编号: LB141001

  • CAS号: 23093-74-5

  • 分子式:C14H20N2O2.HCl

  • 分子量:284.79

英文别名:
2-[3-[(1,1-dimethylethyl)amino]-2-hydroxypropoxy]-Benzonitrile monohydrochloride
级别:
分析标准品
应用:
分析标准品,附HPLC, MS, HNMR等图谱
SMILES:
Cl.N#CC1=C(C=CC=C1)OCC(O)CNC(C)(C)C
储存条件:
见标签
搜索质检报告(COA)
搜索MSDS

人参皂苷Ro

34367-04-9

人参皂苷Rg6

147419-93-0

人参皂苷Rg5

186763-78-0